ППРк — проект производства работ кранами: разработка и согласование
ППРк — проект производства работ кранами, обязательный документ для безопасной эксплуатации подъемных сооружений в строительстве. Разработка ППРк требуется согласно Приказу №461 Ростехнадзора для башенных и автомобильных кранов. Профессионально разрабатываем ППРк под конкретную модель крана с учетом характеристик объекта в Москве и регионах.
Документация включает расчеты устойчивости крана, схемы строповки грузов, требования безопасности и согласовывается с ответственным за безопасную эксплуатацию подъемных сооружений. ППРк разрабатывается под конкретную модель крана с учетом характеристик объекта в Москве или регионе. При необходимости бесплатно корректируем и сопровождаем согласование документации до утверждения руководителем организации. ППРк разрабатывается под конкретную модель автомобильного или башенного крана с учетом характеристик объекта.
Когда нужен ППРк: требования Приказа №461
ППРк в строительстве — это техническая документация, регламентирующая безопасное производство работ с применением грузоподъемных механизмов. Нужен ли ППРк? Да, он обязателен для всех объектов, где используются башенные краны, автомобильные краны грузоподъемностью от 1 тонны, мостовые краны и другие подъемные сооружения.
Согласно пунктам 31, 32, 40 раздела IV Приказа Ростехнадзора №461 от 26.11.2020 «Правила безопасности опасных производственных объектов, на которых используются подъемные сооружения», проект производства работ кранами обязателен для башенных кранов на строительных объектах, автомобильных кранов при монтажных операциях, мостовых кранов на строительных объектах Москвы и России. Башенные краны требуют особого внимания при разработке ППРк из-за большой высоты подъема.
Приказ устанавливает требования к содержанию ППРк: схемы установки крана с учетом зон обслуживания, расчеты устойчивости при максимальной нагрузке, технологические карты строповки и подъема грузов, мероприятия по обеспечению безопасности. С 05.03.2013 экспертиза и регистрация проекта в Ростехнадзоре не требуются, за исключением особо опасных объектов и транспортировке людей.
Проект производства работ кранами утверждается руководителем эксплуатирующей организации и выдается на объект до начала строительства. Изменения в ППРк вносит только разработчик проекта. Эксплуатация кранов с отступлениями от требований ППРк запрещена и влечет административную ответственность.
Автомобильные краны — наиболее востребованный тип техники в современном строительстве благодаря мобильности и универсальности применения.
Здесь ответы на основные вопросы по ППР с применением кранов
Если останутся вопросы, звоните
Что такое ППРк в строительстве?
ППРк в строительстве — это специализированный проект производства работ, регламентирующий безопасное использование кранов на объекте.
Обязательна ли разработка проекта производства работ кранами?
Обязательна согласно пп. 31, 32, 40 разд. IV Приказа № 461 от 26.11.2020 «Правила безопасности опасных производственных объектов, на которых используются подъемные сооружения»
Требования к ППРк: какие краны требуют проекта производства работ
Разработка технической документации выполняется с учетом специфики объекта и типа применяемого крана. Согласно действующим нормам ППРк обязателен при выполнении операций с применением:
- грузоподъемных кранов всех типов: башенных и автомобильных кранов всех грузоподъемностей;
- мостовых кранов (в т. ч. штабелёров);
- кранов-трубоукладчиков;
- кранов-манипуляторов;
- строительных подъемников и вышек;
- грузовых электрических тележек, передвигающихся по надземным рельсовым путям вместе с кабиной управления;
- кранов‑экскаваторов, предназначенных исключительно с применением крюка на канате или электромагнита;
Проект производства работ кранами не требуется для подъемных устройств:
- с ручным приводом, лифтов, эскалаторов, электро- и автопогрузчиков, автоэвакуаторов;
- установленных в шахтах, на судах и иных плавучих средствах;
- в исполнении, исключающем применение грузозахватных приспособлений, с навесным оборудованием (вибропогружателями, шпунтовыдергивателями, буровым оборудованием), кабин (люлек) для транспортировки людей;
- манипуляторов, используемых в технологических процессах.
Разработать ППРк необходимо до начала процессов с применением грузоподъемных механизмов согласно требованиям. Разработка проекта для башенных и автомобильных кранов выполняется с учетом специфики каждого типа подъемного сооружения.
Экспертиза и регистрация ППРк для автокрана
С 05.03.2013 экспертиза ППРк, их регистрация и согласование в Ростехнадзоре не требуются, за исключением случаев транспортировки людей подъемным сооружением и на особо опасных объектах. Эксплуатация кранов с отступлениями от требований ППР не допускается. Изменения в ППР вносит разработчик. Проект производства работ автокраном утверждается непосредственно руководителем организации.
Кто согласовывает и утверждает ППРк
ППР с использованием подъемного сооружения утверждается руководителем эксплуатирующей организации и выдаётся на объект.
Как быстро можно разработать ППРк?
Типовой проект можно выполнить за 3 рабочих дня. Для срочных заказов предусмотрена ускоренная разработка в течение 1-2 дней с наценкой 50%.
Особенности разработки ППРк автокраном
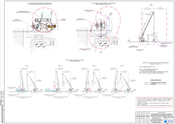
Выполнение ППРк на автомобильные краны требует учета мобильности техники и возможности эксплуатации на нескольких участках. ППРк автокраном включает расчеты несущей способности грунта под выносными опорами, схемы установки крана в различных точках стройплощадки. Проект производства работ автокраном должен содержать таблицы грузовых характеристик для каждой зоны обслуживания. Разработка ППРк на автомобильные краны учитывает мобильность техники и возможность выполнения операций на разных участках.
Особенности разработки ППРк на башенный кран
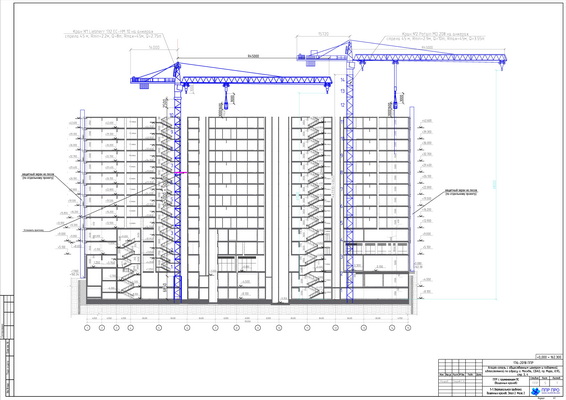
ППРк на башенный кран — наиболее сложный вид проектной документации из-за стационарности установки и большой высоты подъема. ППРк на башенные краны включает расчеты анкерного крепления, проектирование подкрановых путей, определение зон обслуживания с учетом радиуса вылета стрелы. Проект производства работ башенным краном обязательно содержит схемы монтажа и демонтажа самого крана.
Чем отличается ППР от ППРк
ППР и ППРк в строительстве — взаимосвязанные документы. ППР (проект производства работ) — общий документ для всего объекта, а ППРк (проект производства работ кранами) — специализированный раздел, детально описывающий процессы с подъемными сооружениями. ППРк разрабатывается отдельно и утверждается ответственным за безопасную эксплуатацию кранов.
Как заказать разработку ППР кранами
Разработка ППРк под ключ — наша основная специализация. Заказать ППРк можно дистанционно для объектов по всей России. Разработка ППР ППРк выполняется комплексно: сначала общий проект производства, затем специализированный раздел по кранам с детальными схемами и расчетами.
Подготовить исходные данные
- Проект организации строительства (ПОС) или стройгенплан;
- Генплан с существующими/проектируемыми зданиями, подземными и надземными сетями и коммуникациями;
- Масса и габариты монтируемых элементов; указания по их строповке.
Что входит в состав ППРк
Проект содержит полную информацию для организации работ кранами: от схем строповки до расчетов устойчивости. Структура и содержание ППРк кранами:
- Пояснительная записка с описанием технологии производства работ кранами;
- Стройгенплан с размещением подъемных сооружений, зонами обслуживания, опасными зонами;
- Схемы строповки грузов с указанием типов грузозахватных приспособлений;
- Технологические карты на монтаж/демонтаж конструкций с указанием последовательности операций;
- Мероприятия по безопасности труда и охране труда;
Какие подъемные сооружения требуют ППРк
Автомобильные краны и башенные краны — основные типы подъемных сооружений, для которых разрабатываем проекты производства работ, включая мостовые краны для строительства промышленных объектов и строительные подъемники
Ответственность за эксплуатацию кранов без ППРк
Эксплуатация автомобильных или башенных кранов без разработанного проекта производства работ при проверке Ростехнадзором влечет штраф до 300 000 рублей или остановку работ на 90 суток. Краны опечатываются, строительство замораживается.
Разработать ППРк под ключ стоит 40 000 рублей, что защищает компанию от штрафов в 300 000 рублей, простоя техники, срыва сроков и уголовного преследования руководства при ЧП на объектах в Москве и регионах. Автомобильные и башенные краны без утвержденной документации подлежат опечатыванию.
Безопасность строительных процессов с кранами
При проведении работ в строительстве обязательно наличие утвержденного ППРк. Автомобильные и башенные краны должны эксплуатироваться строго в соответствии с утвержденным ППРк. Разработку документации должна выполнять специализированная организация с учетом всех требований Ростехнадзора.
Примеры выполненных ППРк
Ознакомьтесь с образцами наших проектов на автомобильные и башенные краны грузоподъемностью 25-500 тонн для различных объектов строительства в Москве и регионах.









